应用指导 | 氮矽科技 GaN HEMT 安全工作区 (SOA) 详解
[ 来源:  时间:2025-11-13  阅读:653次 ]

氮矽科技推出的GaN HEMT产品,作为先进的功率开关器件,产品规格书中均包含一张关键的安全工作区(Safe Operating Area)即 SOA图。SOA图是评估GaN HEMT在不同电压(VDS)、电流(IDS)及脉冲时间(tpulse)条件下能否安全运行的重要工具。确保GaN HEMT工作点落在SOA区域内,是保障器件安全、可靠运行的前提。本文以DX70C200为例,详细解析其SOA图的构成要素及计算方法。

图片


01

SOA图的组成

GaN HEMT的典型SOA图如下图所示,横坐标为漏源电压VDS,纵坐标为漏源电流IDS。图中由四条关键限制线围成的区域即代表器件的安全工作区,该区域明确界定了器件可以安全操作的电压、电流范围。这四条关键限制线分别为:

  • RDS(on)限制线(绿线)描绘了器件在特定条件下导通电阻RDS(on)与漏源电压VDS、漏源电流IDS的线性依赖关系,该线在VDS-IDS坐标系中依据器件实际参数呈现特定斜率。RDS(on)值随器件结温Tj和驱动电压VGS变化,其关系满足欧姆定律。

  • 电流限制线(红线):表示器件可处理的最大脉冲电流IDS(pulse),一般取决于器件的封装和内部结构,如键合线的材质、尺寸和数量。

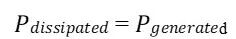
  • 最大功率限制线(紫线):基于器件耗散功率等于产生功率(Pdissipated = Pgenerated),且结温达到最高允许值Tj(max)时允许的最大功率计算得出。该线受壳温Tc、脉冲时间tpulse及占空比D影响。

  • 击穿电压限制线(蓝线):表示器件的耐压极限,为垂直线,主要取决于芯片的耐压能力。

图片

02
电流限制线及击穿电压限制线

电流限制线指最大脉冲电流限制线ID,pulse,击穿电压限制线指 DS 极能承受的最大电压VDS(max)通常以对数坐标表示。这两条线限定了器件的工作区域,也就划定了安全工作区(SOA)的作图范围。

通过查询规格书得知:VDS(max)=700V, ID=10A。

图片

对于Si基MOS器件,ID,pulse 一般取3~4倍ID,同时也要看封装和芯片本身的电流承载能力,取其 中最小的值,而氮化镓器件IDM一般取2倍左右ID,比如DX70C200的ID,pulse 取值为1.8倍ID

f123d19f-c80b-47db-8854-4243e76af49e.png

ID, pulse 还应满足欧姆定律,即: I=U/R

image.png

综合上述因素,电流限制线为:

image.png

image.png

击穿电压限制线为:

图片

电流限制线及击穿电压限制线的对数坐标如下图所示:

图片

03
RDS(on)限制线详解

RDS(on)限制线在VDS和IDS之间呈现出线性依赖关系。此限制线斜率由器件在Tj=25°C且VGS=6V时的最大RDS(on)值决定因此RDS(on)限制线表示为:

图片

当结温Tj= 150°C,由于RDS(on)的值会随结温升高而增大,所以RDS(on)限制线会下移。

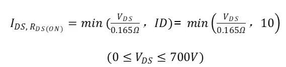
IDS为直流时,IDS不能超过规格书中的限定值 ID,即:

图片 

通过查询规格书得RDS(ON)=165mΩ(@Tj=25℃),VDS(max)=700V,  ID=10A;

图片

图片

综合以上条件,当IDS为直流时,RDS(on)限制线表达式为:

图片


04
最大功率限制线

在热平衡状态下,为使结温(Tj)稳定达到 150°C 且壳温(Tc)为 25°C 时,系统允许产生的最大功率。显然,系统的散热设计理念,以及由此带来的壳温(Tc)、热阻(RthJC)等热学参数,会对这条限制线产生重大影响。可通过假设热平衡状态来计算该限制线,具体公式推导如下:

image.png

在简单热模型中,结温Tj的计算公式为:

image.png

其中,RthJC为热阻,指热量在物体上传输时,物体两端温度差与热源功率之间的比值,单位为开尔文每瓦特(K/W)或摄氏度每瓦特(℃/W)。热阻可表示为:

image.png

图片


查询器件DX70C200规格书:Tjmax=150, Rjc=1.66℃/W, 当壳温Tc 与环境温度Ta一致,都为25℃时,最大电流计算公式为:

图片

由于0≤ID≤10A直流限制工作区域的计算公式为:

图片

其对应的对数坐标图如下图所示

图片


以1ms脉冲电流为例,通过瞬态热阻阻抗曲线读取得知,脉冲时间为1ms、100us、10us时的归一化热阻分别为:ZthJC(1ms)=0.65, ZthjC(100us)=0.24, ZthJC(10us)=0.08,则:

image.png

由此可得单脉冲电流下的最大功率限制线为:

image.png

单脉冲时间1ms下的最大功率限制线为:

图片

瞬态热阻抗曲线如下图所示:

861d9f8e-e63b-4fbc-8707-85ef79e55996.png

IDC和最大功率限制线(1ms)如图所示:

图片

用同样的方法计算得到100us,10us单脉冲电流下的SOA曲线,最终得到DX700C200的SOA图如下图所示:

图片


结语:

本文详细解读了氮矽科技GaN HEMT产品的安全工作区(SOA),包括其组成、各限制线的定义与计算方法,以及实际应用中的考量。SOA图是确保GaN HEMT器件安全运行的重要工具,设计师需根据实际工况合理绘制并应用SOA图,以保障系统的可靠性和稳定性。通过本文的解读,期望能够帮助工程师更好地理解和应用氮矽科技的GaN HEMT产品,确保器件在工作时的安全性和可靠性。

搜索资讯
搜索